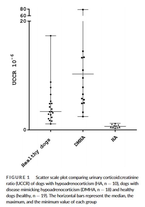
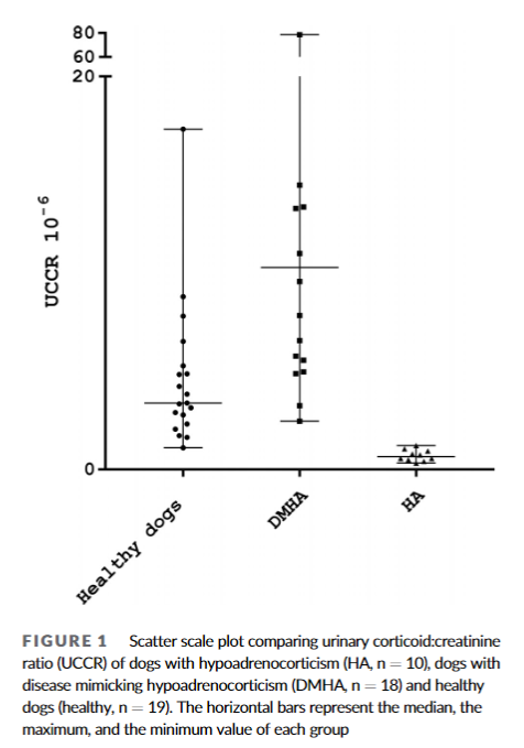
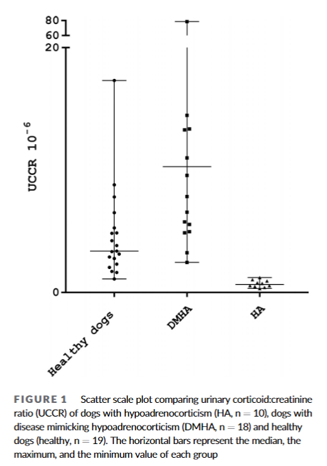
부신피질기능저하증 진단에서 뇨 코르티솔 크레아틴 비율의 이용


뇨만 채취하면 할 수 있는 검사로

민감도 100%, 특이도 97.3% 이다.
즉, 에디슨 쇽이 와 있는 환자에서 따로 ACTH 등의 시간과 노력이 필요한 검사를 시행하는게 아니라
배뇨한 뇨 혹은 1회의 채뇨로 검사할 수 있다는 장점이 있다.
하지만 고려사항은 아직 국내에 검사 시스템이 신뢰할 수준으로 완비 되었느냐는 국내 연구진에 의한 증명이 필요할 듯 함.
반응형
'논문겉핥기' 카테고리의 다른 글
| 반려견, 반려묘의 포도중독 (0) | 2022.02.28 |
|---|---|
| 고양이 알파리포산 중독 사망 증례 (0) | 2022.02.27 |
| 고양이에서 카페인 사용? (0) | 2022.02.26 |
| 피지낭종이 소장 분절에서 생긴 케이스 리포트 (0) | 2022.02.25 |
| 심장초음파 검사시 전신고혈압의 의심 point (0) | 2022.02.24 |