자궁축농증의 내과치료
자궁축농증은 응급질환으로 수술적으로 감염된 자궁을 제거하는 방법이 1차적으로 선택된다.
하지만 일부 번식업에 종사하는 사람의 경우 고가의 모견의 생산성을 유지하기 위해 내과적 치료를 요청 할 수 있다.
그러나 내과적 치료를 위해서는 자궁내 자궁내막증이나 자궁근종 등 농의 배출노에 장애를 줄 요인들이 존재하지 않아야 하는 등 여러 기준들이 있어 적용할 대상 자체가 극소수라 내과적 치료 방법이 있다는 사실 정도만 인지하면 될 듯 하다.
수술 없이 자궁축농증을 치료할 수 있는 방법에 대해 문의하는 보호자에게는 내과 치료의 문제점에 대해 명확히 설명해야 한다.
물론 내과치료 프로토콜에 사용되는 상당수의 약물이 국내 정식 시판 약물이 아닌점에서 국내에서 내과적 치료는 불가한 사실도 인지시켜야 한다. ( 만약 치료를 하더라도 약물을 '밀수' 해야 하는것이니 당연히 가격은 수술 비용의 몇곱절이 들어갈 수 있다는 점도 인지해야 한다. 그렇다고 진짜 밀수는 하지 말자.)

올해 5월에 나온 리뷰페이퍼에 나오는 반려견의 자궁축농증 내과치료 프로토콜은 다음과 같다.


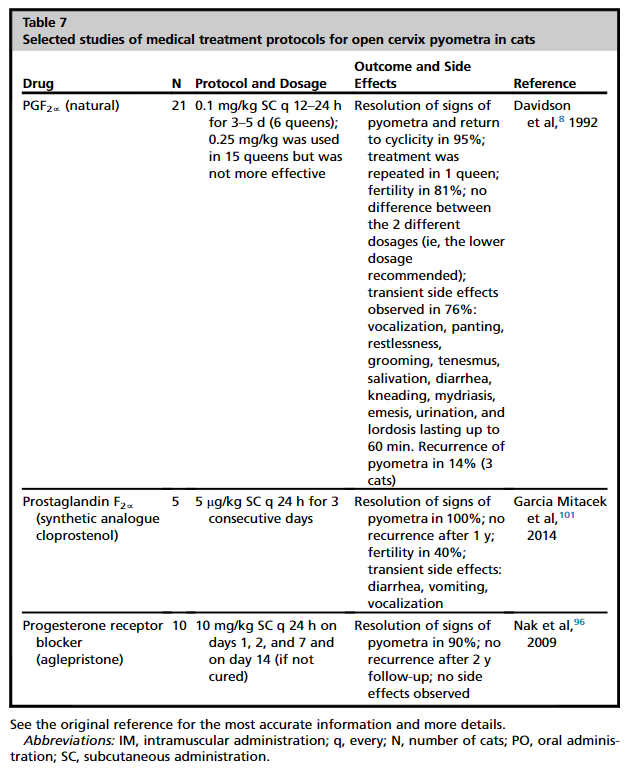
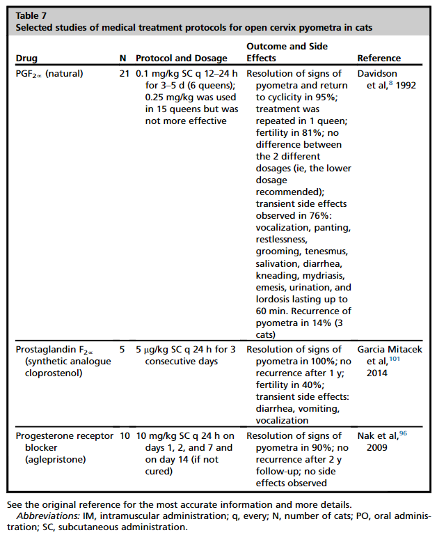
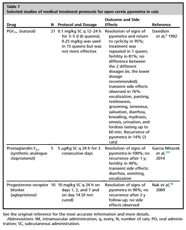
고양이에서 내과적 자궁축농증 치료 프로토콜은 다음과 같다.

내과적 치료의 예후 부분에서 재발을 막기 위해 매 발정시마다 지속적으로 임신을 시키는것이 예방의 방법이라고 언급하고 있다.

즉, 내과적 치료는 퍼피밀 즉, 강아지 공장주를 위한 치료라 일반 보호자에게 추천할 방법이 아니라는것이다.
평균 재발율은 일반적으로 70%를 언급하지만 연구들의 평균은 29%가 재발한다고 한다.

'논문겉핥기' 카테고리의 다른 글
| 발생 원인에 따른 급성 신부전 환자의 장기생존율 (0) | 2022.05.04 |
|---|---|
| 반려견의 초음파 검사는 어떻게 해석해야 하는가? (0) | 2022.05.01 |
| 반려견의 식도 정맥류 케이스 (0) | 2022.04.30 |
| 담낭 점액종의 초음파 소견과 임상증상에 대한 논문 (0) | 2022.04.29 |
| 사료 vs 직접만들어 먹이는 강아지밥 (0) | 2022.04.28 |