IMHA나 IMT, IMPA는 언제쯤 재발하는것일까?
반응형
반려동물임상 특히 개 환자에서 흔하게 볼 수 있는 대표적인 질환들인 면역매개성 용혈성 빈혈(IMHA), 면역매개성 혈소판감소증(IMT), 면역매개성 다발성관절염(IMPA)은 완치보다는 관리의 질환이라고 말할 정도로 재발을 잘한다. 또한 일부에서는 예방접종 때문에 재발한 것 아니냐는 오해로 보호자와 수의사간의 얼굴 붉히는 일이 종종 일어나곤 한다.
과연 진실은?

결론부터 말하자면

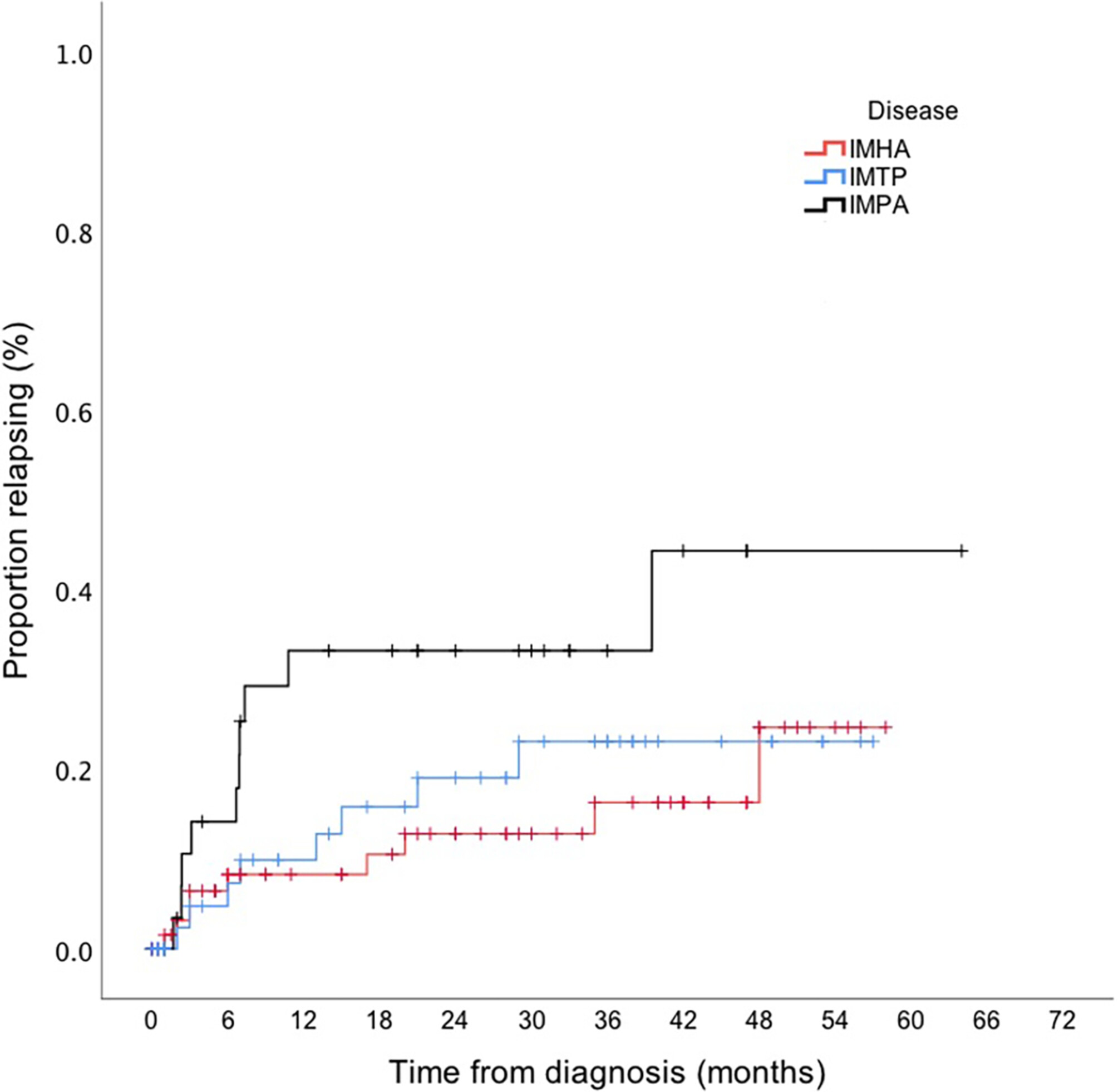
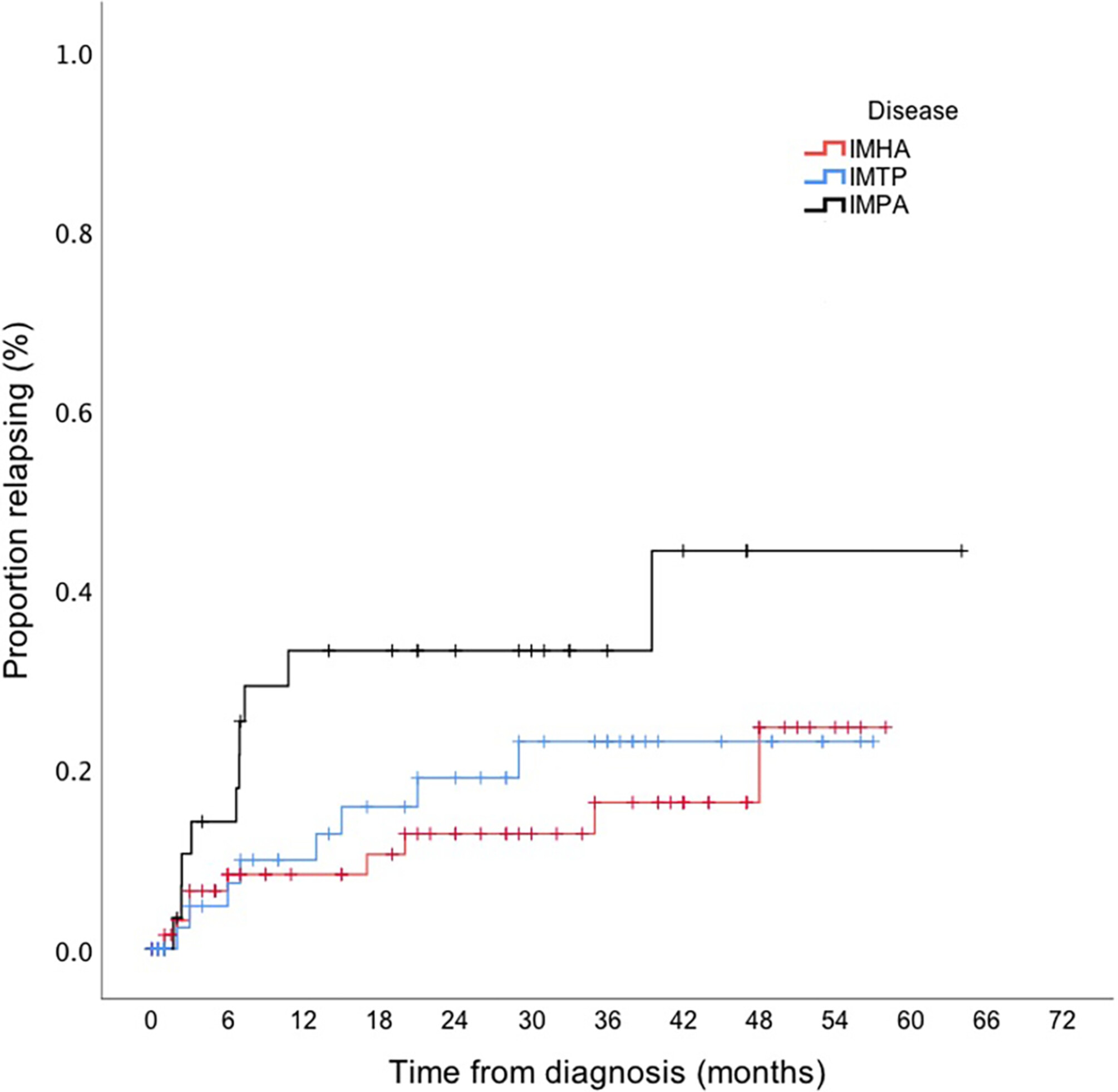
1년 미만에서 IMHA는 11%, IMT도 11%, IMPA는 35%가 재발했다고 한다. 2년 미만에서는 IMHA는 18%, IMT는 23%, IMPA는 41%가 재발했다는 것.

60개월 즉, 5년 동안 추적했을 때까지 25% 미만의 환자만이 IMT와 IMHA를 재발했다는 것도 의미는 있다. 즉, 완치라고 생각할 만큼 재발 없이 지내는 수가 75%라는 것. 치료할 가치는 충분한 질환으로 불치병이라고 이야기하기에는 어렵다는 의미로 생각해도 될 것이다.
초기 1년 내에 재발이 급격히 일어나는 측면이 보이고 2년까지 점진적으로 재발하는 양상을 보이니 치료 후 2년까지는 면밀한 추적 검사가 필요하다는 의미가 되기도 한다.

반응형
'논문겉핥기' 카테고리의 다른 글
| 몸속의 공기, 의료 과실로 단정지을 수 없다. (0) | 2024.02.12 |
|---|---|
| 갑상선 기능저하증의 주요 증상 (0) | 2024.02.10 |
| 안티세단의 비강 적용 (0) | 2024.02.06 |
| 반려동물 경련환자에서 levetiracetam 사용의 최신지견 (0) | 2024.02.04 |
| 고양이에서 과산화수소로 구토 유발? (1) | 2024.01.31 |